Advancing Plasma Derived Extracellular VesicleAnalysis Through High-Purity Isolation and Particle-Specific Quantification
Authors : Tal Gilboa, Ph.D., Dr. Christina Klasen, Dr. Lena Ball
A Collaboration of

개요
Everest Biolabs과 Particle Metrix는 세포외 소포(EV) 분석을 위한 통합 Workflow를
구축하기 위해 협력했습니다. 이 워크플로우는 Apex SEC 컬럼을 사용한
high-purity Size Exclusion Chromatography(SEC) 분리와
첨단 나노 입자 추적 분석(NTA)을 통한 정밀 정량 분석을 결합한 것입니다.
EV 연구의 주요 과제 중 하나는 혈장(plasma)과 혈청(serum)에 존재하는
대부분의 입자가 EV가 아니라 소포와 크기가 유사한 지질 단백질(lipoproteins) 및
단백질 응집체(protein aggregates)라는 점입니다.
이러한 오염물질은 전체 입자 수를 왜곡하고, 진정한 EV 신호를 가리며,
EV 존재량이나 Biomarker levels에 대한 부정확한 결론으로 이어질 수 있습니다.
따라서 정량적이고 재현 가능한 후속 분석을 위해서는 EV의 고순도 분리가 필수적입니다.
Apex SEC 컬럼: 순도 및 수율 최적화
Everest Biolabs의 Apex SEC 컬럼(4B, 6B 및 MM)은 다양한 생체 유체에서
확장 가능한 EV 분리를 가능하게 합니다.
각 column의 구성은 수율과 순도 사이의 균형을 제공하여 연구자들이
후속 응용 분야에 최적의 구성을 선택할 수 있도록 합니다.
특히 Apex MM 컬럼은 SEC에 추가적인 상호작용 메커니즘을 결합한 멀티모드
레진 레이어(multi-mode resin layer)를 특징으로 하여 지질 단백질과 혈장 단백질을
더욱 효과적으로 제거함으로써 기존 SEC 컬럼보다 높은 EV 순도를 제공합니다.
이러한 설계 개선을 통해 단백질체학(Proteomics) 등의 비표적 분석(untargeteu analysis)에
이상적인 깨끗한 분획을 얻을 수 있습니다.
Particle Metrix NTA : Labeling된 입자 및 Labeling되지 않은 입자 추적
Particle Metrix ZetaView® Evolution 플랫폼은 Labeling 되지 않은(총) 입자 집단과
형광 표지 입자 집단을 동시에 측정할 수 있습니다.
막 염료(Membrane staining dyes)를 사용하여 시료 내 막으로 둘러싸인
입자의 비율을 측정할 수 있습니다.
또한, EV 마커인 CD9, CD63, CD81을 동시에 표지할 수 있는
Particle Metrix F-NTA 테트라스파닌 검출 키트(F-NTA Tetraspanin Detection Kits)와
함께 사용하면 전체 입자 집단 내 실제 EV의 비율을 정량화할 수 있습니다.
이러한 표지 방법을 통해 순도 평가(막 염색 입자 또는 EV의 비율)와
EV 농도(EV/mL)의 정확한 측정이 모두 가능합니다.
SEC와 NTA 분석의 결합:
EV 분획을 총 입자 수(비표지 NTA)와 EV 특이적 측정(F-NTA 또는 ELISA)을
모두 사용하여 분석할 때, 총 입자 수와 표지된 입자 수의 비율은 순도를 나타내는
민감한 지표로 작용합니다(그림 1).
분리 순도가 향상됨에 따라 이 비율은 100%에 가까워지는데,
이는 비 EV 입자의 제거와 진정한 소포체의 농축을 반영합니다.
또한, F-NTA 결과와 Atlas EV ELISA 측정값 사이에 강한 상관 관계가 관찰되어
결합 분석 접근법의 일관성과 정확성을 뒷받침합니다.
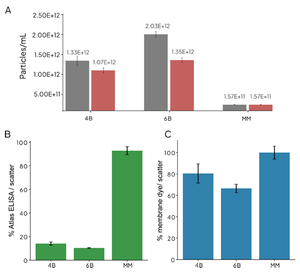
Figure 1

Figure 1 : SEC column 별 EV 순도 비교
(A) 각 Apex 컬럼 유형에서 얻은 총 입자 농도(Scatter 산란 NTA 모드, 회색) 및
막 염색 양성 입자 수(Fluorescence 형광 NTA 모드, 빨간색)
(B) 총 입자 (Scatter moe) 대비 EV 특이적 Atlas ELISA 신호의 백분율.
(C) 총 Scatter mode 분석 결과 대비 Membrane staining 양성 입자의
비율(% 막 염색/산란 NTA), 지질 결합 소포의 비율
Apex MM 컬럼은 가장 높은 EV 순도를 달성한 반면, Apex 6B 컬럼은
총 입자 회수율은 높았지만 마커 특이적 농축률은 낮았습니다.
혈장 유래 세포외 소포(EV)와 같이 순도가 낮은 시료의 항체 표지(labeling)는
충분한 표지 효율을 달성하는 것과 과량의 미결합 항체로 인한 Background noise를
피하는 것 사이의 균형을 맞춰야 하기 때문에 어려울 수 있습니다.
이 때문에 정확성을 떨어뜨리는 광범위한 희석이 필요한 경우가 많습니다.
Figure 2 에서 볼 수 있듯이, SEC 분획 전에 표지 단계를 수행하는 것은
이러한 어려움을 극복하는 효과적인 전략입니다.
염색 과정에서 더 높은 항체 농도를 적용함으로써 표지 효율이 크게 향상됩니다.
후속 SEC 단계에서는 결합되지 않은 항체를 제거하여 항체 밀도가 증가했음에도
불구하고 Background 형광 노이즈가 발생하지 않도록 합니다.
이처럼 향상된 라벨링 효율은 추적된 형광 입자 수의 증가로 이어져 통계적 안정성을
높이고 더욱 신뢰할 수 있는 정량적 결과를 얻을 수 있습니다.
결과적으로, 이 워크플로우는 더욱 밝고 빠르며 정확한 EV 검출을 가능하게 합니다.
Figure 2

Figure 2 : SEC 전후 형광 나노입자 추적 분석(FNTA).
A) 실험 과정: EV는 Apex 6B 컬럼을 사용하여 SEC 전후에 표지한 후,
ZetaView® Evolution 시스템을 이용한 형광 나노 입자 추적 분석(F-NTA)을 실시하였다.
B) SEC 전후에 측정된 총 입자 수 신호(산란 모드)와 형광 입자 수 신호(F-NTA)는
SEC 전에 혈장을 표지하면 검출 가능한 형광 입자 수가 증가함을 보여준다.
이는 오차 막대의 감소로 나타나는 통계적 안정성 향상을 가져오며,
전반적인 측정 결과는 SEC 전후 표지 간에 일관성을 유지한다.
C), D) 산란 모드(회색, 왼쪽 축)와 F-NTA(녹색, 오른쪽 축)의 분획별 분석
Apex 컬럼에서 예상되는 EV elution 프로파일과 두 측정값 간의 상관 관계를 보여준다.
통합 워크플로우 : EV 특이적 통찰 제공
Apex SEC 컬럼과 ZetaView® Evolution 은 EV biology에 대한
상호 보완적인 인사이트를 제공합니다.
SEC는 오염 입자로부터 EV를 효율적으로 분리하고, ZetaView® Evolution은
전체 EV 개체 수와 EV 특이적 개체 수를 모두 정량화합니다.
SEC 후 전체 개체 수와 형광 표지된 입자 개체 수의 일치는 분리 과정의 순도를 보여주며,
SEC 전에 EV를 미리 표지하면 형광 NTA 측정의 민감도가 향상됩니다.
이 통합 워크플로우는 분리 순도와 정량적 및 입자 특이적 분석을 연계하여
고정밀 EV 특성 분석을 위한 견고한 프레임워크를 구축합니다.
실험 방법
Apex SEC 컬럼을 이용한 혈장 분획:
Apex SEC 컬럼을 17mL의 1× PBS로 pre-equilibrated 시켰다.
그 후, 혼합 혈장 0.5mL를 컬럼에 로딩하고, 폐기량으로 PBS 2mL를 추가했다.
이후 0.5mL씩 분획을 수집했다.
SEC 분석은 자동화된 Ascent 장비를 사용하여 수행했다.
혈장 유래 세포외 소포(EV)의 항체 염색
SEC 분획 전 혈장 유래 세포외 소포(EV)의 표지를 위해,
혈장 2ml에 Particle Metrix F-NTA EV Tetraspanin Detection Kit에 포함된
각 항체(CD9, CD63, CD81) 10μl씩을 첨가하여 1시간 동안 배양하였다.
이후 Everest Biolabs Apex SEC 컬럼을 사용하여 제조사의
권장 사항에 따라 SEC 분획을 수행하였다.
처음 세 개의 분획을 수집하여 ZetaView® Evolution을 이용한 EV 분석에 사용하였다.
SEC 분획 후 혈장 EV의 표지는 F-NTA EV Tetraspanin Detection Kit에
제공된 프로토콜에 따라 수행하였다.
혈장(Plasma) 유래 세포외 소포(EV)의 막 염색(Membrane Staining)
막으로 둘러싸인 입자를 표지하기 위해 Apex SEC 컬럼에서 얻은
분획 2, 1 μl를 PBS에 1:2,000으로 희석한 CellMask™ Deep Red
(CMDR, Thermo Fisher Scientific) 1 μl와 함께 1시간 동안 배양했습니다.
산란 Scatter NTA 분석 및 형광 Fluorescence NTA(F-NTA) 분석
측정은 ZetaView® Evolution Quatt 장비와 ZetaSphere 소프트웨어를
사용하여 수행했습니다.
모든 분석에는 PMX EV PAN 염색법의 측정 설정을 적용했습니다.
'Particle Metrix' 카테고리의 다른 글
| NTA (Nano particle Tracking Analysis) 분석기 : 나노입자추적분석기 (0) | 2025.10.17 |
|---|---|
| ZetaView® Evolution 신모델 출시 안내 (0) | 2025.06.19 |
| Zetaview® 전용 F-NTA Kit 출시 안내 (0) | 2025.06.11 |
| ZetaView® F-NTA 테트라스파닌 검출 키트를 이용한 EV 다운스트림 공정의 정확한 물질 수지 (0) | 2025.05.13 |
| 테트라스파닌 염색과 제타 전위 분석을 통한 엑소좀의 품질 평가 (0) | 2025.03.20 |



